政府信息公开

法定主动公开内容

政府信息公开年报

政府网站年度报表

依申请公开

第六师五家渠市政务信息公开指南

根据《中华人民共和国政府信息公开条例》(国务院令711号)《新疆生产建设兵团互联网政务网站管理暂行办法》等相关规定,为便于公民、法人或者其他组织依法获取第六师五家渠市(以下简称“师市”)政务信息,特编制了本指南,应主动公开的政府信息,将通过第六师五家渠市政务门户网站(jq.gov.cn)“公开”栏目向社会公开。

一、主动公开

(一)主动公开的内容

师市信息公开主体包括师市行政工作部门、部门管理机构、各团(镇)(以下统称行政机关)。第六师办公室、五家渠市人民政府办公室负责向社会主动公开下列主要信息:

1.履职依据。主要包括第六师、五家渠市人民政府负责执行的行政法规,政府规章和规范性文件。

2.机关简介。主要包括第六师、五家渠市人民政府领导组成,政府工作单位机构设置和主要职能。

3.政府工作报告。主要包括历年政府工作报告。

4.政府会议。主要包括政府全体会议和常务会议情况。

5.统计信息。主要包括统计公报和统计数据。

6.收费公开。主要包括行政事业性收费和经营服务性收费信息公开。

7.双公示。主要包括行政许可、行政处罚、行政强制和其他管理服务事项公开。

8.政府采购。主要包括政府集中采购政策法规(包括项目目录、标准)、交易信息(实施情况)等。

9.重大项目。主要包括重大建设项目批准结果信息等。

10.脱贫扶贫。主要包括脱贫扶贫信息等。

11.公共卫生。主要包括公共卫生知识日常普及工作信息。

12.市场监管。主要包括市场监管规则和标准、日常监管信息。

13.教育信息。主要包括义务教育招生方案、招生范围、招生程序、报名条件、学校情况、咨询方式等信息。

14.招录招聘。主要包括公务员招录和事业人员招聘信息。

15.法律、法规、规章规定应主动公开的其他有关信息。

具体信息目录请在第六师五家渠市政务门户网站“政务公开”栏目查询。按照《中华人民共和国政府信息公开条例》规定,属于主动公开范围的政府信息,应当自该政府信息形成或者变更之日起20个工作日内及时公开。法律、法规对政府信息公开的期限另有规定的,从其规定。

(二)主动公开的形式

1.第六师五家渠市政务门户网站;

2.其他形式:互联网政务新媒体、广播、电视、报刊等。

(三)不予公开的政府信息

1.依法确定为国家秘密的政务信息;

2.法律、行政法规禁止公开的政务信息;

3.公开后可能危及国家安全、公共安全、经济安全、社会稳定的政务信息;

4.涉及商业秘密、个人隐私等公开会对第三方合法权益造成损害的政务信息,但是第三方同意公开或者行政机关认为不公开会对公共利益造成重大影响的除外;

5.师市行政机关内部事务信息,包括人事管理、后勤管理、内部工作流程等方面的信息;

6.师市行政机关在履行行政管理职能过程中形成的讨论记录、过程稿、磋商信函、请示报告等过程性信息以及行政执法案卷信息(法律、法规、规章规定应该公开的,从其规定)。

7.法律、法规规定不予公开的其他信息。

二、依申请公开的政府信息

公民、法人或者其他组织(以下简称申请人)根据本指南,可申请公开师市或师市办公室的政务信息。

为有利于申请人方便快捷获取政务信息,根据师市有关政务信息公开的职责分工,师市有关专项业务的政务信息公开职责,由师市相关职能部门履行。申请人依法申请公开涉及师市有关专项业务的政务信息,请直接向师市相关职能部门申请。如:涉及集体土地征收的相关政务信息,申请人请直接向师市自然资源和规划局提出申请。

(一)申请接收渠道

1.当面提交

地址:五家渠市人民政府办公室五家渠市长征东街603号

办公时间:10:00---19:30

(周一至周五,节假日除外)

联系电话:0994-5685119

邮政寄送

收件人:五家渠市人民政府办公室五家渠市长征东街603号

地址:五家渠市长征东街603号

邮政编码:831300

其他:信封上请注明“政务信息公开申请”字样

3.网络提交

请登录第六师五家渠市政府门户网站“公开”的“信息公开工作”中“依申请公开”栏目在线提交申请。

(二)填写申请表

向本机关申请获取政务信息的申请人,应当填写《第六师五家渠市政府信息公开申请表》《申请表》可以在受理机构处领取,也可以在第六师五家渠市政府门户网站(网址:wjq.gov.cn)下载,复制有效。

申请人提出的政务信息公开申请应当真实载明下列内容:

(1)申请人的姓名或名称、有效身份证明、联系方式。

(2)申请公开的政务信息的名称、文号或者便于行政机关查询的其他特征性描述。所需的政务信息应当描述明确、详尽,有助于受理机构确定信息内容。

(3)申请公开的政务信息的形式要求,包括获取信息的方式、载体形式。

(4)当面申请的,应当出示有效身份证件;通过邮政寄送提交申请的,应随申请表附有效身份证件复印件;网上申请的,应上传有效身份证件扫描件或照片。

(5)承诺所获取的政务信息,只用于自身的需要,不作任何炒作及随意扩大公开范围。

(三)答复期限

依据《条例》规定,行政机关不能当场答复的,应当自收到申请之日起20个工作日内予以答复,需要延长答复期限的,延长的期限最长不得超过20个工作日。行政机关征求第三方和其他机关意见所需时间不计算在上述规定的期限内。

(四)答复方式

本机关依申请公开政务信息,根据申请人的要求及行政机关保存政务信息的实际情况,确定提供政务信息的具体形式;按照申请人要求的形式提供政务信息,可能危及政务信息载体安全或者公开成本过高的,可以通过电子数据以及其他适当形式提供,或者安排申请人查阅、抄录相关政务信息。

(五)信息处理费

本机关提供政务信息不收取费用。但是,申请人申请公开政务信息的数量、频次明显超过合理范围的,本机关将按照《国务院办公厅关于印发<政府信息公开信息处理费管理办法>的通知》(国办函〔2020〕109号)规定收取信息处理费。政务信息公开申请处理期限从申请人完成缴费次日起重新计算。

三、政务信息公开工作机构

由师市各部门答复的申请,受理机构为师市各部门的信息公开工作机构。

第六师五家渠市数据局办公室负责指导协调各团镇、师市各部门的受理工作,转交、催办未经过师市受理机构的申请。

办公地址:五家渠市长征东街1303号

办公时间:夏季10:00---14:00    16:00---20:00

冬季10:00---14:00    15:30---19:30

(周一至周五,节假日除外)

联系电话:0994-5685119

四、监督和救济

公民、法人或者其他组织认为行政机关在政务信息公开工作中侵犯其合法权益的,可以向上一级行政机关或者政务公开工作主管部门投诉、举报,也可以依法申请行政复议或者提起行政诉讼。

附件:《第六师五家渠市政府信息公开申请表》

《中华人民共和国政府信息公开条例》(国务院令711号)

200745日中华人民共和国国务院令第492号公布201943日中华人民共和国国务院令第711号修订)

第一章 总则

第一条 为了保障公民、法人和其他组织依法获取政府信息,提高政府工作的透明度,建设法治政府,充分发挥政府信息对人民群众生产、生活和经济社会活动的服务作用,制定本条例。

第二条 本条例所称政府信息,是指行政机关在履行行政管理职能过程中制作或者获取的,以一定形式记录、保存的信息。

第三条 各级人民政府应当加强对政府信息公开工作的组织领导。

国务院办公厅是全国政府信息公开工作的主管部门,负责推进、指导、协调、监督全国的政府信息公开工作。

县级以上地方人民政府办公厅(室)是本行政区域的政府信息公开工作主管部门,负责推进、指导、协调、监督本行政区域的政府信息公开工作。

实行垂直领导的部门的办公厅(室)主管本系统的政府信息公开工作。

第四条 各级人民政府及县级以上人民政府部门应当建立健全本行政机关的政府信息公开工作制度,并指定机构(以下统称政府信息公开工作机构)负责本行政机关政府信息公开的日常工作。

政府信息公开工作机构的具体职能是:

(一)办理本行政机关的政府信息公开事宜;

(二)维护和更新本行政机关公开的政府信息;

(三)组织编制本行政机关的政府信息公开指南、政府信息公开目录和政府信息公开工作年度报告;

(四)组织开展对拟公开政府信息的审查;

(五)本行政机关规定的与政府信息公开有关的其他职能。

第五条 行政机关公开政府信息,应当坚持以公开为常态、不公开为例外,遵循公正、公平、合法、便民的原则。

第六条 行政机关应当及时、准确地公开政府信息。

行政机关发现影响或者可能影响社会稳定、扰乱社会和经济管理秩序的虚假或者不完整信息的,应当发布准确的政府信息予以澄清。

第七条 各级人民政府应当积极推进政府信息公开工作,逐步增加政府信息公开的内容。

第八条 各级人民政府应当加强政府信息资源的规范化、标准化、信息化管理,加强互联网政府信息公开平台建设,推进政府信息公开平台与政务服务平台融合,提高政府信息公开在线办理水平。

第九条 公民、法人和其他组织有权对行政机关的政府信息公开工作进行监督,并提出批评和建议。

第二章 公开的主体和范围

第十条 行政机关制作的政府信息,由制作该政府信息的行政机关负责公开。行政机关从公民、法人和其他组织获取的政府信息,由保存该政府信息的行政机关负责公开;行政机关获取的其他行政机关的政府信息,由制作或者最初获取该政府信息的行政机关负责公开。法律、法规对政府信息公开的权限另有规定的,从其规定。

行政机关设立的派出机构、内设机构依照法律、法规对外以自己名义履行行政管理职能的,可以由该派出机构、内设机构负责与所履行行政管理职能有关的政府信息公开工作。

两个以上行政机关共同制作的政府信息,由牵头制作的行政机关负责公开。

第十一条 行政机关应当建立健全政府信息公开协调机制。行政机关公开政府信息涉及其他机关的,应当与有关机关协商、确认,保证行政机关公开的政府信息准确一致。

行政机关公开政府信息依照法律、行政法规和国家有关规定需要批准的,经批准予以公开。

第十二条 行政机关编制、公布的政府信息公开指南和政府信息公开目录应当及时更新。

政府信息公开指南包括政府信息的分类、编排体系、获取方式和政府信息公开工作机构的名称、办公地址、办公时间、联系电话、传真号码、互联网联系方式等内容。

政府信息公开目录包括政府信息的索引、名称、内容概述、生成日期等内容。

第十三条 除本条例第十四条、第十五条、第十六条规定的政府信息外,政府信息应当公开。

行政机关公开政府信息,采取主动公开和依申请公开的方式。

第十四条 依法确定为国家秘密的政府信息,法律、行政法规禁止公开的政府信息,以及公开后可能危及国家安全、公共安全、经济安全、社会稳定的政府信息,不予公开。

第十五条 涉及商业秘密、个人隐私等公开会对第三方合法权益造成损害的政府信息,行政机关不得公开。但是,第三方同意公开或者行政机关认为不公开会对公共利益造成重大影响的,予以公开。

第十六条 行政机关的内部事务信息,包括人事管理、后勤管理、内部工作流程等方面的信息,可以不予公开。

行政机关在履行行政管理职能过程中形成的讨论记录、过程稿、磋商信函、请示报告等过程性信息以及行政执法案卷信息,可以不予公开。法律、法规、规章规定上述信息应当公开的,从其规定。

第十七条 行政机关应当建立健全政府信息公开审查机制,明确审查的程序和责任。

行政机关应当依照《中华人民共和国保守国家秘密法》以及其他法律、法规和国家有关规定对拟公开的政府信息进行审查。

行政机关不能确定政府信息是否可以公开的,应当依照法律、法规和国家有关规定报有关主管部门或者保密行政管理部门确定。

第十八条 行政机关应当建立健全政府信息管理动态调整机制,对本行政机关不予公开的政府信息进行定期评估审查,对因情势变化可以公开的政府信息应当公开。

第三章 主动公开

第十九条 对涉及公众利益调整、需要公众广泛知晓或者需要公众参与决策的政府信息,行政机关应当主动公开。

第二十条 行政机关应当依照本条例第十九条的规定,主动公开本行政机关的下列政府信息:

(一)行政法规、规章和规范性文件;

(二)机关职能、机构设置、办公地址、办公时间、联系方式、负责人姓名;

(三)国民经济和社会发展规划、专项规划、区域规划及相关政策;

(四)国民经济和社会发展统计信息;

(五)办理行政许可和其他对外管理服务事项的依据、条件、程序以及办理结果;

(六)实施行政处罚、行政强制的依据、条件、程序以及本行政机关认为具有一定社会影响的行政处罚决定;

(七)财政预算、决算信息;

(八)行政事业性收费项目及其依据、标准;

(九)政府集中采购项目的目录、标准及实施情况;

(十)重大建设项目的批准和实施情况;

(十一)扶贫、教育、医疗、社会保障、促进就业等方面的政策、措施及其实施情况;

(十二)突发公共事件的应急预案、预警信息及应对情况;

(十三)环境保护、公共卫生、安全生产、食品药品、产品质量的监督检查情况;

(十四)公务员招考的职位、名额、报考条件等事项以及录用结果;

(十五)法律、法规、规章和国家有关规定规定应当主动公开的其他政府信息。

第二十一条 除本条例第二十条规定的政府信息外,设区的市级、县级人民政府及其部门还应当根据本地方的具体情况,主动公开涉及市政建设、公共服务、公益事业、土地征收、房屋征收、治安管理、社会救助等方面的政府信息;乡(镇)人民政府还应当根据本地方的具体情况,主动公开贯彻落实农业农村政策、农田水利工程建设运营、农村土地承包经营权流转、宅基地使用情况审核、土地征收、房屋征收、筹资筹劳、社会救助等方面的政府信息。

第二十二条 行政机关应当依照本条例第二十条、第二十一条的规定,确定主动公开政府信息的具体内容,并按照上级行政机关的部署,不断增加主动公开的内容。

第二十三条 行政机关应当建立健全政府信息发布机制,将主动公开的政府信息通过政府公报、政府网站或者其他互联网政务媒体、新闻发布会以及报刊、广播、电视等途径予以公开。

第二十四条 各级人民政府应当加强依托政府门户网站公开政府信息的工作,利用统一的政府信息公开平台集中发布主动公开的政府信息。政府信息公开平台应当具备信息检索、查阅、下载等功能。

第二十五条 各级人民政府应当在国家档案馆、公共图书馆、政务服务场所设置政府信息查阅场所,并配备相应的设施、设备,为公民、法人和其他组织获取政府信息提供便利。

行政机关可以根据需要设立公共查阅室、资料索取点、信息公告栏、电子信息屏等场所、设施,公开政府信息。

行政机关应当及时向国家档案馆、公共图书馆提供主动公开的政府信息。

第二十六条 属于主动公开范围的政府信息,应当自该政府信息形成或者变更之日起20个工作日内及时公开。法律、法规对政府信息公开的期限另有规定的,从其规定。

第四章 依申请公开

第二十七条 除行政机关主动公开的政府信息外,公民、法人或者其他组织可以向地方各级人民政府、对外以自己名义履行行政管理职能的县级以上人民政府部门(含本条例第十条第二款规定的派出机构、内设机构)申请获取相关政府信息。

第二十八条 本条例第二十七条规定的行政机关应当建立完善政府信息公开申请渠道,为申请人依法申请获取政府信息提供便利。

第二十九条 公民、法人或者其他组织申请获取政府信息的,应当向行政机关的政府信息公开工作机构提出,并采用包括信件、数据电文在内的书面形式;采用书面形式确有困难的,申请人可以口头提出,由受理该申请的政府信息公开工作机构代为填写政府信息公开申请。

政府信息公开申请应当包括下列内容:

(一)申请人的姓名或者名称、身份证明、联系方式;

(二)申请公开的政府信息的名称、文号或者便于行政机关查询的其他特征性描述;

(三)申请公开的政府信息的形式要求,包括获取信息的方式、途径。

第三十条 政府信息公开申请内容不明确的,行政机关应当给予指导和释明,并自收到申请之日起7个工作日内一次性告知申请人作出补正,说明需要补正的事项和合理的补正期限。答复期限自行政机关收到补正的申请之日起计算。申请人无正当理由逾期不补正的,视为放弃申请,行政机关不再处理该政府信息公开申请。

第三十一条 行政机关收到政府信息公开申请的时间,按照下列规定确定:

(一)申请人当面提交政府信息公开申请的,以提交之日为收到申请之日;

(二)申请人以邮寄方式提交政府信息公开申请的,以行政机关签收之日为收到申请之日;以平常信函等无需签收的邮寄方式提交政府信息公开申请的,政府信息公开工作机构应当于收到申请的当日与申请人确认,确认之日为收到申请之日;

(三)申请人通过互联网渠道或者政府信息公开工作机构的传真提交政府信息公开申请的,以双方确认之日为收到申请之日。

第三十二条 依申请公开的政府信息公开会损害第三方合法权益的,行政机关应当书面征求第三方的意见。第三方应当自收到征求意见书之日起15个工作日内提出意见。第三方逾期未提出意见的,由行政机关依照本条例的规定决定是否公开。第三方不同意公开且有合理理由的,行政机关不予公开。行政机关认为不公开可能对公共利益造成重大影响的,可以决定予以公开,并将决定公开的政府信息内容和理由书面告知第三方。

第三十三条 行政机关收到政府信息公开申请,能够当场答复的,应当当场予以答复。

行政机关不能当场答复的,应当自收到申请之日起20个工作日内予以答复;需要延长答复期限的,应当经政府信息公开工作机构负责人同意并告知申请人,延长的期限最长不得超过20个工作日。

行政机关征求第三方和其他机关意见所需时间不计算在前款规定的期限内。

第三十四条 申请公开的政府信息由两个以上行政机关共同制作的,牵头制作的行政机关收到政府信息公开申请后可以征求相关行政机关的意见,被征求意见机关应当自收到征求意见书之日起15个工作日内提出意见,逾期未提出意见的视为同意公开。

第三十五条 申请人申请公开政府信息的数量、频次明显超过合理范围,行政机关可以要求申请人说明理由。行政机关认为申请理由不合理的,告知申请人不予处理;行政机关认为申请理由合理,但是无法在本条例第三十三条规定的期限内答复申请人的,可以确定延迟答复的合理期限并告知申请人。

第三十六条 对政府信息公开申请,行政机关根据下列情况分别作出答复:

(一)所申请公开信息已经主动公开的,告知申请人获取该政府信息的方式、途径;

(二)所申请公开信息可以公开的,向申请人提供该政府信息,或者告知申请人获取该政府信息的方式、途径和时间;

(三)行政机关依据本条例的规定决定不予公开的,告知申请人不予公开并说明理由;

(四)经检索没有所申请公开信息的,告知申请人该政府信息不存在;

(五)所申请公开信息不属于本行政机关负责公开的,告知申请人并说明理由;能够确定负责公开该政府信息的行政机关的,告知申请人该行政机关的名称、联系方式;

(六)行政机关已就申请人提出的政府信息公开申请作出答复、申请人重复申请公开相同政府信息的,告知申请人不予重复处理;

(七)所申请公开信息属于工商、不动产登记资料等信息,有关法律、行政法规对信息的获取有特别规定的,告知申请人依照有关法律、行政法规的规定办理。

第三十七条 申请公开的信息中含有不应当公开或者不属于政府信息的内容,但是能够作区分处理的,行政机关应当向申请人提供可以公开的政府信息内容,并对不予公开的内容说明理由。

第三十八条 行政机关向申请人提供的信息,应当是已制作或者获取的政府信息。除依照本条例第三十七条的规定能够作区分处理的外,需要行政机关对现有政府信息进行加工、分析的,行政机关可以不予提供。

第三十九条 申请人以政府信息公开申请的形式进行信访、投诉、举报等活动,行政机关应当告知申请人不作为政府信息公开申请处理并可以告知通过相应渠道提出。

申请人提出的申请内容为要求行政机关提供政府公报、报刊、书籍等公开出版物的,行政机关可以告知获取的途径。

第四十条 行政机关依申请公开政府信息,应当根据申请人的要求及行政机关保存政府信息的实际情况,确定提供政府信息的具体形式;按照申请人要求的形式提供政府信息,可能危及政府信息载体安全或者公开成本过高的,可以通过电子数据以及其他适当形式提供,或者安排申请人查阅、抄录相关政府信息。

第四十一条 公民、法人或者其他组织有证据证明行政机关提供的与其自身相关的政府信息记录不准确的,可以要求行政机关更正。有权更正的行政机关审核属实的,应当予以更正并告知申请人;不属于本行政机关职能范围的,行政机关可以转送有权更正的行政机关处理并告知申请人,或者告知申请人向有权更正的行政机关提出。

第四十二条 行政机关依申请提供政府信息,不收取费用。但是,申请人申请公开政府信息的数量、频次明显超过合理范围的,行政机关可以收取信息处理费。

行政机关收取信息处理费的具体办法由国务院价格主管部门会同国务院财政部门、全国政府信息公开工作主管部门制定。

第四十三条 申请公开政府信息的公民存在阅读困难或者视听障碍的,行政机关应当为其提供必要的帮助。

第四十四条 多个申请人就相同政府信息向同一行政机关提出公开申请,且该政府信息属于可以公开的,行政机关可以纳入主动公开的范围。

对行政机关依申请公开的政府信息,申请人认为涉及公众利益调整、需要公众广泛知晓或者需要公众参与决策的,可以建议行政机关将该信息纳入主动公开的范围。行政机关经审核认为属于主动公开范围的,应当及时主动公开。

第四十五条 行政机关应当建立健全政府信息公开申请登记、审核、办理、答复、归档的工作制度,加强工作规范。

第五章 监督和保障

第四十六条 各级人民政府应当建立健全政府信息公开工作考核制度、社会评议制度和责任追究制度,定期对政府信息公开工作进行考核、评议。

第四十七条 政府信息公开工作主管部门应当加强对政府信息公开工作的日常指导和监督检查,对行政机关未按照要求开展政府信息公开工作的,予以督促整改或者通报批评;需要对负有责任的领导人员和直接责任人员追究责任的,依法向有权机关提出处理建议。

公民、法人或者其他组织认为行政机关未按照要求主动公开政府信息或者对政府信息公开申请不依法答复处理的,可以向政府信息公开工作主管部门提出。政府信息公开工作主管部门查证属实的,应当予以督促整改或者通报批评。

第四十八条 政府信息公开工作主管部门应当对行政机关的政府信息公开工作人员定期进行培训。

第四十九条 县级以上人民政府部门应当在每年131日前向本级政府信息公开工作主管部门提交本行政机关上一年度政府信息公开工作年度报告并向社会公布。

县级以上地方人民政府的政府信息公开工作主管部门应当在每年331日前向社会公布本级政府上一年度政府信息公开工作年度报告。

第五十条 政府信息公开工作年度报告应当包括下列内容:

(一)行政机关主动公开政府信息的情况;

(二)行政机关收到和处理政府信息公开申请的情况;

(三)因政府信息公开工作被申请行政复议、提起行政诉讼的情况;

(四)政府信息公开工作存在的主要问题及改进情况,各级人民政府的政府信息公开工作年度报告还应当包括工作考核、社会评议和责任追究结果情况;

(五)其他需要报告的事项。

全国政府信息公开工作主管部门应当公布政府信息公开工作年度报告统一格式,并适时更新。

第五十一条 公民、法人或者其他组织认为行政机关在政府信息公开工作中侵犯其合法权益的,可以向上一级行政机关或者政府信息公开工作主管部门投诉、举报,也可以依法申请行政复议或者提起行政诉讼。

第五十二条 行政机关违反本条例的规定,未建立健全政府信息公开有关制度、机制的,由上一级行政机关责令改正;情节严重的,对负有责任的领导人员和直接责任人员依法给予处分。

第五十三条 行政机关违反本条例的规定,有下列情形之一的,由上一级行政机关责令改正;情节严重的,对负有责任的领导人员和直接责任人员依法给予处分;构成犯罪的,依法追究刑事责任:

(一)不依法履行政府信息公开职能;

(二)不及时更新公开的政府信息内容、政府信息公开指南和政府信息公开目录;

(三)违反本条例规定的其他情形。

第六章 附则

第五十四条 法律、法规授权的具有管理公共事务职能的组织公开政府信息的活动,适用本条例。

第五十五条 教育、卫生健康、供水、供电、供气、供热、环境保护、公共交通等与人民群众利益密切相关的公共企事业单位,公开在提供社会公共服务过程中制作、获取的信息,依照相关法律、法规和国务院有关主管部门或者机构的规定执行。全国政府信息公开工作主管部门根据实际需要可以制定专门的规定。

前款规定的公共企事业单位未依照相关法律、法规和国务院有关主管部门或者机构的规定公开在提供社会公共服务过程中制作、获取的信息,公民、法人或者其他组织可以向有关主管部门或者机构申诉,接受申诉的部门或者机构应当及时调查处理并将处理结果告知申诉人。

第五十六条 本条例自2019515日起施行。

州政府领导
领导简介
简       历:
工作分工:
关闭
政府网站年度报表
关于解除吉木萨尔县康扬药店医保服务协议的公告

关于解除吉木萨尔县康扬药店医保服务协议的公告

 

为进一步加强定点医药机构管理,维护医保基金安全运行,按照《零售药店医疗保障定点管理暂行办法》(国家医疗保障局令第3号)关于印发<兵团医药机构医疗保障定点管理评估经办规程(试行)>的通知有关规定》(兵医保中心〔20241号)2025六师定点医药机构医疗保障服务协议》及医保服务协议约定内容,解除1定点零售药店医保服务协议,现将有关名单予以公布。

 


序号

统筹区

国家赋码

机构名称

地址

1

六师

P66060100145

吉木萨尔县康扬药店

红旗农场友好街农贸市场


 

 

            第六师医疗保障事业管理中心

2025912


关于对新疆新丝路惠康医药连锁有限公司第三十一分店等10家零售药店实地评估结果的公示

近期,第六师医疗保障事业管理中心组成实地评估小组,对新疆新丝路惠康医药连锁有限公司第三十一分店等10家零售药店申请开通医保联网结算服务相关事项展开实地评估,现将本次评估结果公示如下:

关于对新疆新丝路惠康医药连锁有限公司第三十一分店等10家零售药店实地评估情况的公示_01.jpg

第六师医疗保障事业管理中心

2025年9月11日


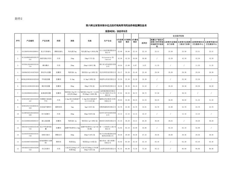
第六师部分医保定点医药机构常用药品价格监测情况公示(2025年8月)

第六师部分医保定点医药机构常用药品价格监测情况公示

(2025年8月)


为进一步做好定点医药机构的药品价格管理工作,完善药品价格市场竞争机制,保障群众对药品价格的知情权、监督权、选择权,建立公开、公正、规范、有序的药品零售市场环境,第六师医疗保障局开展常用药品价格监测工作,监测范围涉及销量较大、医保报销次数多、慢性病患者常用药品。现对2025年8月监测结果进行公示。

        附件:8月药品价格监测公示.xlsx


    

2025年8月门诊慢性病鉴定结论公示

2025年8月门诊慢性病鉴定结论公示

 

根据《关于进一步加强和规范六师基本医疗保险门诊慢性病鉴定工作的通知》规定,师市2025年8月共完成463人申报的门诊慢性病鉴定工作,现对2025年8月门诊慢性病鉴定结论(详见附件)进行公示。如对鉴定结果有异议,可咨询门诊慢性病鉴定医院。

公示时间:2025年9月4日-2025年9月10日

监督电话:0994-5828229

联系人:史荣鑫

 

附件:2025年8月第六师基本医疗保险门诊慢性病鉴定结论汇总表.xls

 

 

                    第六师医疗保障事业管理中心

                                2025年9月4日   


关于对呼图壁县良生医药有限公司瑞祥万康分店实地评估结果的公示

关于对呼图壁县良生医药有限公司瑞祥万康分店实地评估结果的公示


近期,第六师医疗保障事业管理中心组成实地评估小组,对呼图壁县良生医药有限公司瑞祥万康分店申请开通医保联网结算服务相关事项展开实地评估,现将本次评估情况公示如下:

序号

零售药店名称

评估结果

1

呼图壁县良生医药有限公司瑞祥万康分店

合格



第六师医疗保障事业管理中心

2025年8月18日  

 


2025年7月门诊慢性病鉴定结论公示

2025年7月门诊慢性病鉴定结论公示

 

根据《关于进一步加强和规范六师基本医疗保险门诊慢性病鉴定工作的通知》规定,师市20257月共完成545人申报的门诊慢性病鉴定工作,现对20257门诊慢性病鉴定结论(详见附件)进行公示。如对鉴定结果有异议,可咨询门诊慢性病鉴定医院。

公示时间202588-2025814

监督电话:0994-5828229

联 系 人:史荣鑫

 

附 件:2025年7月第六师基本医疗保险门诊慢性病鉴定结论汇总表

 

 

                    六师医疗保障事业管理中心

                            202588  

县市信息公开平台
部门信息公开平台
全面推进基层政务公开标准化规范化
公共企事业信息公开